BHXH tự nguyện là loại hình BHXH do Nhà nước tổ chức mà người tham gia được lựa chọn mức đóng, phương thức đóng phù hợp với thu nhập của mình theo quy định của Luật Bảo hiểm 2014. Qua bài viết dưới đây, Lương Gia Group xin chia sẻ với bạn đọc thủ tục đăng ký BHXH tự nguyện theo quy định mới nhất.
1. Những đối tượng được tham gia bảo hiểm xã hội tự nguyện
Người tham gia bảo hiểm xã hội tự nguyện là công dân Việt Nam từ đủ 15 tuổi trở lên và không thuộc đối tượng tham gia bảo hiểm xã hội bắt buộc theo quy định của pháp luật về bảo hiểm xã hội, bao gồm:
- Người lao động làm việc theo hợp đồng lao động có thời hạn dưới 03 tháng trước ngày 01 tháng 01 năm 2018; người lao động làm việc theo hợp đồng lao động có thời hạn dưới 01 tháng từ ngày 01 tháng 01 năm 2018 trở đi
- Người hoạt động không chuyên trách ở thôn, ấp, bản, sóc, làng, tổ dân phố, khu, khu phố; – Người lao động giúp việc gia đình
- Người tham gia các hoạt động sản xuất, kinh doanh, dịch vụ không hưởng tiền lương
- Xã viên không hưởng tiền lương, tiền công làm việc trong hợp tác xã, liên hiệp hợp tác xã
- Người nông dân, người lao động tự tạo việc làm bao gồm những người tự tổ chức hoạt động lao động để có thu nhập cho bản thân và gia đình
- Người lao động đã đủ điều kiện về tuổi đời nhưng chưa đủ điều kiện về thời gian đóng để hưởng lương hưu theo quy định của pháp luật về bảo hiểm xã hội
- Người tham gia khác

2. Mức đóng bảo hiểm xã hội tự nguyện
Người tham gia BHXH được lựa chọn mức đóng và phương thức đóng, cụ thể như sau:
Mức đóng hàng tháng
Bằng 22% mức thu nhập tháng do người tham gia BHXH tự nguyện lựa chọn
| Mức đóng hằng tháng = 22% x Mức thu nhập tháng do người tham gia tự nguyện lựa chọn |
Trong đó:
| Mức thu nhập tháng = Mức chuẩn hộ nghèo + (tham số tự nhiên có giá trị từ 0 đến n) x 50.000dong |
Mức thu nhập tháng do người tham gia BHXH tự nguyện lựa chọn thấp nhất bằng mức chuẩn hộ nghèo của khu vực nông thôn theo quy định của Thủ tướng Chính phủ và cao nhất bằng 20 lần mức lương cơ sở tại thời điểm đóng.
Mức lương cơ sở 2021 dự kiến là 1.490.000 đồng/tháng, do đó mức thu nhập tháng do người tham gia BHXH tự nguyện lựa chọn không quá 29.800.000 đồng/tháng.
Mức đóng 3 tháng hoặc 6 tháng hoặc 12 tháng 1 lần
Được xác định bằng mức đóng hằng tháng nhân với 3 đối với phương thức đóng 3 tháng; nhân với 6 đối với phương thức đóng 6 tháng; nhân với 12 đối với phương thức đóng 12 tháng một lần.
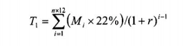
Mức đóng một lần cho nhiều năm về sau nhưng không quá 05 năm 1 lần
Được tính bằng tổng mức đóng của các tháng đóng trước, chiết khấu theo lãi suất đầu tư quỹ BHXH bình quân tháng do BHXH Việt Nam công bố của năm trước liền kề với năm đóng.
![]() |
Trong đó:
– T1: Mức đóng một lần cho n năm về sau (đồng).
– Mi: Mức thu nhập tháng do người tham gia BHXH tự nguyện chọn tại thời điểm đóng (đồng/tháng).
– r: Lãi suất đầu tư quỹ BHXH bình quân tháng do BHXH Việt Nam công bố của năm trước liền kề với năm đóng (%/tháng).
– n: Số năm đóng trước do người tham gia BHXH chọn, nhận một trong các giá trị từ 2 đến 5.
– i: Tham số tự nhiên có giá trị từ 1 đến (n×12).
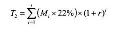
Đóng một lần cho những năm còn thiếu đối với người tham gia BHXH đã đủ điều kiện về tuổi để hưởng lương hưu nhưng không quá 10 năm
Được tính bằng tổng mức đóng của các tháng còn thiếu, áp dụng lãi gộp bằng lãi suất đầu tư quỹ BHXH bình quân tháng do BHXH Việt Nam công bố của năm trước liền kề với năm đóng.
![]() |
Trong đó:
– T2: Mức đóng một lần cho những năm còn thiếu (đồng).
– Mi: Mức thu nhập tháng do người tham gia BHXH tự nguyện chọn tại thời điểm đóng (đồng/tháng).
– r: Lãi suất đầu tư quỹ BHXH bình quân tháng do BHXH Việt Nam công bố của năm trước liền kề với năm đóng (%/tháng).
– t: Số tháng còn thiếu, nhận một trong các giá trị từ 1 đến 120.
– i: Tham số tự nhiên có giá trị từ 1 đến t.
Xem thêm: Mức đóng bảo hiểm xã hội tự nguyện theo quy định mới nhất
Tổng đài tư vấn bảo hiểm xã hội miễn phí; Luật Lương Gia Group
3. Thủ tục đăng ký tham gia BHXH tự nguyện lần đầu
Thành phần hồ sơ
– Người tham gia chưa có mã số BHXH: Tờ khai tham gia, điều chỉnh thông tin BHXH, BHYT.
+ Trường hợp người tham gia đã được cấp mã số BHXH: ghi mã số BHXH vào các mẫu biểu tương ứng.
– Đại lý thu/Cơ quan BHXH (đối với trường hợp người tham gia đăng ký trực tiếp tại cơ quan BHXH): Danh sách người tham gia BHXH tự nguyện.
Trình tự thực hiện
Bước 1: Người lao động tham gia bảo hiểm xã hội tự nguyện nộp hồ sơ theo quy định cho cơ quan bảo hiểm xã hội.
Bước 2: Cơ quan bảo hiểm xã hội có trách nhiệm cấp sổ bảo hiểm xã hội trong thời hạn 07 ngày kể từ ngày nhận đủ hồ sơ theo quy định.
Hãy liên hệ với chúng tôi qua các kênh sau đây để nhận được các ưu đãi tốt nhất và nhanh chóng nhất:
» Địa chỉ: 386/2 Thống nhất, Phường 16, Quận Gò Vấp, Tp. HCM
» Hotline: 0971 308 998 – 0983 122 210
» Email: groupluonggia@gmail.com
» Website: https://luonggiagroup.vn


